|
Home
Basis Sets Lab Activity
Basis Set Main Page
Students
Introduction
Objectives
Background Reading
Procedure
Questions
Further Work
References/Support Materials
Teachers
Additional Background
Materials
Standards
First year chemistry curriculum concepts
Second year chemistry curriculum concepts
Readings
Overview
Atomic Orbitals
Lab Activities
Z-matrices
Basis Sets
Geometry Optimizations
Ionization Energies
Support Materials
Interactive Tools
Glossary of Terms
Quick Guide to DISCO Output File
Related Links
ChemViz
Computational Chemistry
SUCCEED's Computational Chemistry
Developers' Tools
What's New?
Discussion Board
Team Members
Email the Group
Contact Webmaster
|
As a quick review, remember that scientists are mainly interested in the
properties of molecules. One characteristic of a molecule that explains a
great deal about these properties is their molecular orbitals. Recall the
following diagram regarding what the scientist must know in order to calculate
the molecular orbitals.
One of the three major decisions for the scientist is which basis set to use. There are two general
categories of basis sets:
- Minimal basis sets
- a basis set that describes only the most basic aspects of the orbitals
- Extended basis sets
- a basis set with a much more detailed description
Basis sets were first developed by J.C. Slater. Slater fit linear least-squares to data that could be
easily calculated. The general expression for a basis function is given as:
Basis Function = N * e(-alpha * r)
where: |
N = | normalization constant |
alpha = | orbital exponent |
r = | radius in angstroms |
This expression given as a Slater Type Orbital (STO) equation is:

Now it is important to remember that STO is a very tedious calculation. S.F. Boys came up with an alternative when he
developed the Gaussian Type Orbital (GTO) equation:
Notice that the difference between the STO and GTO is in the "r." The GTO
squares the "r" so that the product of the gaussian "primitives" (original
gaussian equations) is another gaussian. By doing this, we have an equation we
can work with and so the equation is much easier. However, the price we pay is
loss of accuracy. To compensate for this loss, we find that the more gaussian
equations we combine, the more accurate our equation.
All basis set equations in the form STO-NG (where N represents the number of
GTOs combined to approximate the STO) are considered to be "minimal" basis
sets. (Remember our definition of minimal.) The "extended" basis sets, then,
are the ones that consider the higher orbitals of the molecule and account for
size and shape of molecular charge distributions.
There are several types of extended basis sets:
Double-Zeta, Triple-Zeta, Quadruple-Zeta
Split-Valence
Polarized Sets
Diffuse Sets
Previously with the minimal basis sets, we approximated all orbitals to be of
the same shape. However, we know this is not true. The double-zeta basis
set is important to us because it allows us to treat each orbital
separately when we conduct the Hartree-Fock
calculation. This gives us a more accurate representation of each
orbital. In order to do this, each atomic orbital is expressed as the sum of
two Slater-type orbitals (STOs). The two equations are the same except for the
value of (zeta). The zeta value accounts for how diffuse
(large) the orbital is. The two STOs are then added in some proportion. The
constant 'd' determines how much each STO will count towards the final
orbital. Thus, the size of the atomic orbital can range anywhere between the
value of either of the two STOs. For example, let's look at the following
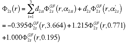
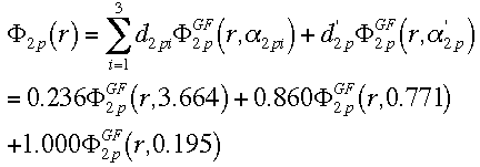
example of a 2s orbital:

In this case, each STO represents a different sized orbital because the zetas
are different. The 'd' accounts for the percentage of the second STO to add
in. The linear combination then gives us the atomic orbital. Since each of the
two equations are the same, the symmetry remains constant.
The triple and quadruple-zeta basis sets work the same way, except use three
and four Slater equations instead of two. The typical trade-off applies here
as well, better accuracy...more time/work.
Often it takes too much effort to calculate a double-zeta for every
orbital. Instead, many scientists simplify matters by calculating a
double-zeta only for the valence
orbital. Since the inner-shell electrons aren't as vital to the
calculation, they are described with a single Slater Orbital. This method is
called a split-valence basis set. A few examples of common
split-valence basis sets are 3-21G, 4-31G, and 6-31G.
An example is given below. It is strongly encouraged that you take part of the
class time to walk through this example with your class. It will be a
tremendous help to the students understanding of this subject.
Here we are using a 3-21G basis set to calculate a carbon atom. This means we
are summing 3 gaussians for the inner shell orbital, two gaussians for the
first STO of the valence orbital and 1 gaussian for the second STO.
This is the output file from the gaussian
Basis Set Order Form for carbon given a 3-21G basis set.

Here is another common method of displaying data. Notice the numbers are
labeled so it is easy to match this data with the corresponding data in the
output file.

Once you have retrieved a basis set output file, you can use these numbers to
calculate your equations. For a carbon, you will need three equations: 1s
orbital, 2s orbital, and 2p orbital.
This equation combines the 3 GTO orbitals that define the 1s orbital.

This equation combines the 2 GTO orbitals that make up the first STO of the
double-zeta, plus the 1 GTO that represents the second STO for the 2s
orbital.

This equation combines the 2 GTO orbitals that make up the first STO of the
double-zeta, plus 1 GTO that represents the second STO for the 2p
orbital.

Now, using these three equations, we can calculate the LCAO for the carbon
atom.
In the previous basis sets we have looked at, we treated atomic orbitals as existing only as 's',
'p', 'd', 'f' etc. Although those basis sets are good approximations, a better
approximation is to acknowledge and account for the fact that sometimes
orbitals share qualities of 's' and 'p' orbitals or 'p' and 'd', etc. and not
necessarily have characteristics of only one or the other. As atoms are
brought close together, their charge distribution causes a polarization effect
(the positive charge is drawn to one side while the negative charge is drawn
to the other) which distorts the shape of the atomic orbitals. In this case,
's' orbitals begin to have a little of the 'p' flavor and 'p' orbitals begin
to have a little of the 'd' flavor. One asterisk (*) at the end of a basis set
denotes that polarization has been taken into account in the 'p'
orbitals. Notice in the graphics below the difference between the
representation of the 'p' orbital for the 6-31G and the 6-31G* basis sets. The
polarized basis set represents the orbital as more than just 'p', by adding a
little 'd'.
Original 'p' orbital
Modified 'p' orbital
Two asterisks (**) means that polarization has taken into account the 's'
orbitals in addition to the 'p' orbitals. Below is another illustration of the
difference of the two methods.
Original 's' orbital
Modified 's' orbital
In chemistry, we are mainly concerned with the valence electrons which
interact with other molecules. However, many of the basis sets we have talked
about previously concentrate on the main energy located in the inner shell
electrons. This is the main area under the wave function curve. In the graphic
below, this area is that to the left of the red dotted line. Normally the tail
(the area to the right of the dotted line), is not really a factor in
calculations.

However, when an atom is in an anion or in an excited state, the loosely bond
electrons, which are responsible for the energy in the tail of the wave
function, become much more important. To compensate for this area,
computational scientists use diffuse functions. These basis sets
utilize very small exponents to clarify the properties of the tail. Diffuse
basis sets are represented by the '+' signs. One '+' means that we are
accounting for the 'p' orbitals, while '++' signals that we are looking at
both 'p' and 's' orbitals, (much like the asterisks in the polarization basis
sets).
The tradeoff/relationship between basis sets and accuracy is represented in
the diagram below. Our ultimate goal is to calculate an answer to the
Schroëdinger's Equation (right bottom corner). However, we are still a
long way from being able to complete this calculation. Right now we are in the
top left corner of the chart. In that first box, we are treating each electron
independently of the others. As you move across to the right, you find
calculations that account for the interactions of electrons. As you move down
the column you find more complex and more accurate basis set
calculations. Students will only be expected to understand the shaded
regions.
There are other trade-offs for using each type of basis set. The more complex
basis sets are more accurate but, they use up a great deal of computing
time. Whenever you run a computational chemistry calculation you will be using
time on a computer. Normally, the computer that will be running the
calculation will be one that is shared with many other people doing other
calculations. Thus, it is important that you act responsibly when choosing
which basis set to use. You should pick one that is efficient for your
use. This means that you should consider how much time it will take to run the
molecule and use the basis set that will run the fastest without compromising
your desired level of accuracy.
|